河北考生,2018河北高考一分一档表出炉!快收藏
河北考生,2018河北高考一分一档表出炉!快收藏

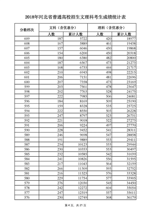
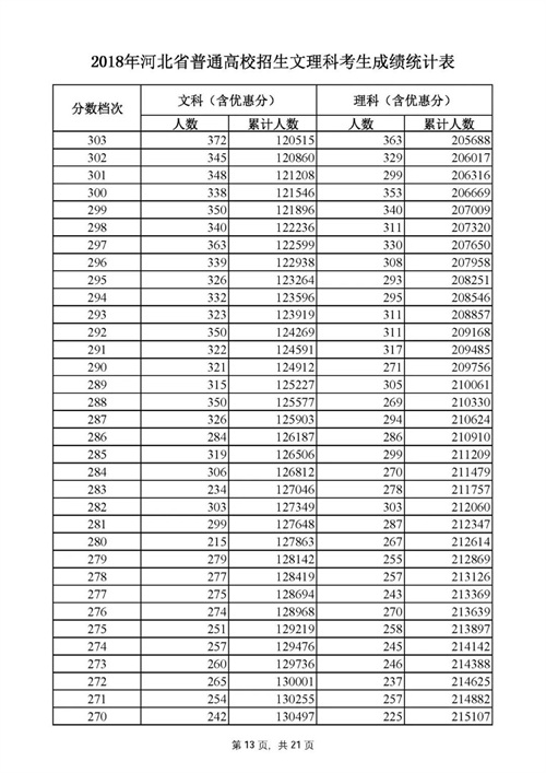
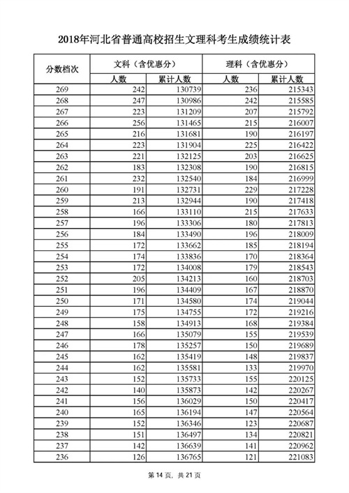
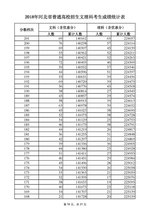
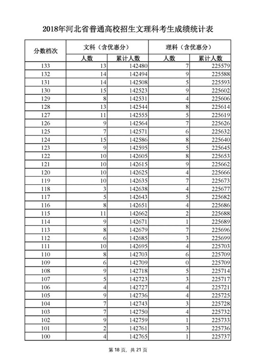
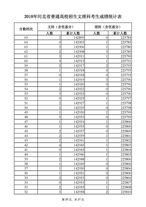
23日0点,河北高考成绩可以查询了!相信考生现在都已经知道自己的分数了!全省考生们考的如何?一分一档表新鲜出炉!快来看看吧 !
2018年河北普通高校招生文理科
一分一档表
(点击看大图更清楚哦)





















河北考生,2018河北高考一分一档表出炉!快收藏

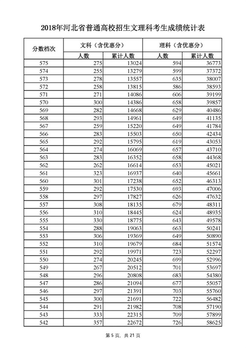
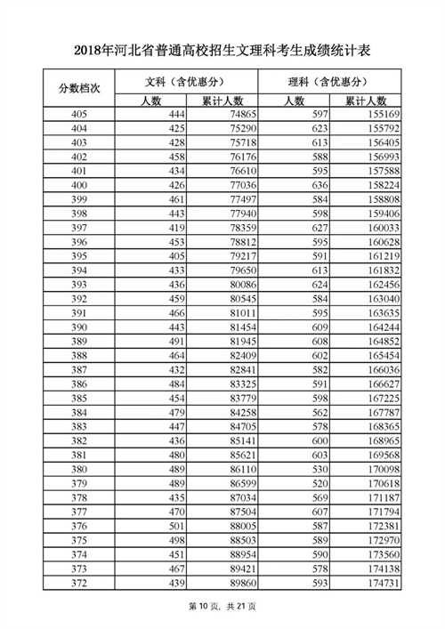
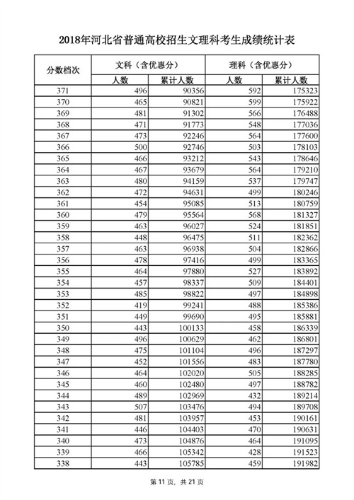
23日0点,河北高考成绩可以查询了!相信考生现在都已经知道自己的分数了!全省考生们考的如何?一分一档表新鲜出炉!快来看看吧 !
2018年河北普通高校招生文理科
一分一档表
(点击看大图更清楚哦)





















相关文章