hrb335钢筋是什么意思(hrb335钢筋是什么意思是几级钢)
hrb335钢筋是什么意思(hrb335钢筋是什么意思是几级钢)
钢筋的种类:
1、按外形分
光圆钢筋HPB300级(ф6~10盘条供应, ф12以上直条供应);
带肋钢筋HRB335、HRB400、RRB400级,表面轧成螺旋纹、月牙纹或人字纹;
刻痕钢丝或钢绞线。
2、按生产(加工)工艺—热轧、热处理筋、冷拉筋、冷
拔丝、冷轧筋、碳素丝、刻痕丝、钢绞线.
3、按化学成分
(1)碳素(低碳0.25%中碳0.7%高碳)
(2)普通低合金(合金元素<5%)。
4、按在结构中的作用分受拉钢筋、受压钢筋、弯起钢筋、预应力钢筋、分布筋、箍筋、架立筋、吊筋、锚固筋。
5、按直径分
粗钢筋(直径>12mm);细钢筋(直径6~12mm);钢丝(直径3~5mm)
一、什么是钢筋配料?
钢筋配料是根据构件的配筋图计算构件各钢筋的直线下料长度、根数及重量,然后编制钢筋配料单,作为钢筋备料加工的依据。
配料:按照设计图纸的要求,确定各钢筋的直线下料长度、总根数及总重量,提出钢筋配料单,以供加工制作。
(一)下料长度计算:
1、钢筋外包尺寸——外皮至外皮尺寸,由构件尺寸减保护层厚度得到。
2、钢筋下料长度=直线长=轴线长度=外包尺寸之和-中间弯折处量度差值+端部弯钩增加值。

钢筋外包尺寸
结构施工图中所指钢筋长度是钢筋外缘之间的长度,即外包尺寸,这是施工中量度钢筋长度的基本依据。

钢筋下料长度应按钢筋轴线长度下料
3、钢筋中部弯曲处的量度差值
施工图纸的钢筋尺寸:钢筋的外边缘尺寸(外包尺寸)。
对于直线钢筋:钢筋下料长度=轴线长度=外包尺寸
钢筋弯曲特性:弯曲后,受弯处外边缘伸长,内边缘缩短,中心线(轴线)则保持原有尺寸。
钢筋长度的度量方法:系指外包尺寸,因此钢筋弯曲以后,存在一个量度差值,在计算下料长度时必须加以扣除。
量度差值:钢筋外包尺寸和轴线长度之间存在的一个差值
钢筋下料长度计算
直钢筋下料长度=直构件长度-保护层厚度+(末端弯钩增加长度)
弯起钢筋下料长度=直段长度+斜段长度-弯折量度差值+(末端弯钩增加长度)
箍筋下料长度=直段长度+弯钩增加长度-弯折量度差值=箍筋周长+箍筋调整值

中间弯折处的量度差值=弯折处的外包尺寸-弯折处的轴线长

(1)弯折处的外包尺寸
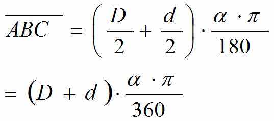
A’B’+B’C’=2A’B’=2(D/2+d)tg(α/2)
(2)弯折处的轴线弧长

(3)据规范规定,D应≥5d,若取D=5d,则量度差值为:


(1)90°弯折时的量度差值


量度差值=4.5d-2.75d=1.75d(取2d)
几种常用弯折角度的量度差值:

5、对箍筋的要求及下料计算
(1)绑扎箍筋的端头形式:90°/90°,90°/180°,135°/135° (抗震和受扭结构)


(2)箍筋弯心直径(D) ≮2.5d, 且>纵向受力筋的直径
(3)箍筋弯钩平直段长:
一般结构=5d,抗震结构=10d
(4)矩形箍筋外包尺寸=2(外包宽+外包高)
外包宽(高)=构件宽(高)-2×保护层厚+2×箍筋直径
(5)一个弯钩增加值:

90°——(D/2+d/2)π/2-(D/2+d)+平直段长
135°——(D/2+d/2)3π/4-(D/2+d)+平直段长
180°——(D/2+d/2)π-(D/2+d)+平直段长
(6)箍筋下料长度:
L=外包尺寸-中间弯折量度差值+端弯钩增长值
矩形箍筋135°/135°弯钩时,近似为:
L=外包尺寸+2×平直段长
(二)钢筋配料单


【注】上面是小编给大家整理的知识点,但是下面就是小编给大家带来的福利了,大家在工作和学习中一定会需要规范和图集。小编就来告诉大家怎么样能免费获得。
在手机应用市场中搜索“又土又木”,下载手机app,那样就可以免费获取了


